模型的一些通用方法:
get_params([deep]):返回模型的参数。
deep: 如果为True,则可以返回模型参数的子对象。set_params(**params):设置模型的参数。
params:待设置的关键字参数。fit(X[, y, sample_weight]) :训练模型。
X :样本集合。通常是一个numpy array,每行代表一个样本,每列代表一个特征。y :样本的标签集合。它与X 的每一行相对应。sample_weight:样本的权重。其形状为 [n_samples,],每个元素代表一个样本的权重。predict(X, sample_weight):返回每个样本所属的簇标记。
X :样本集合。通常是一个numpy array,每行代表一个样本,每列代表一个特征。sample_weight:样本的权重。其形状为 [n_samples,],每个元素代表一个样本的权重。fit_predict(X[, y, sample_weight]) :训练模型并执行聚类,返回每个样本所属的簇标记。
X :样本集合。通常是一个numpy array,每行代表一个样本,每列代表一个特征。y :样本的标签集合。它与X 的每一行相对应。sample_weight:样本的权重。其形状为 [n_samples,],每个元素代表一个样本的权重。transform(X):将数据集 X 转换到cluster center space 。
在cluster center space 中,样本的维度就是它距离各个聚类中心的距离。
X :样本集合。通常是一个numpy array,每行代表一个样本,每列代表一个特征。fit_transform(X[, y, sample_weight]):训练模型并执行聚类,将数据集 X 转换到cluster center space 。
X :样本集合。通常是一个numpy array,每行代表一个样本,每列代表一个特征。y :样本的标签集合。它与X 的每一行相对应。sample_weight:样本的权重。其形状为 [n_samples,],每个元素代表一个样本的权重。模型的一些通用参数:
n_jobs:一个正数,指定任务并形时指定的 CPU数量。
如果为 -1 则使用所有可用的 CPU。
verbose:一个正数。用于开启/关闭迭代中间输出日志功能。
None,表示关闭日志输出。max_iter :一个整数,指定最大迭代次数。
如果为None则为默认值(不同solver的默认值不同)。
tol:一个浮点数,指定了算法收敛的阈值。
random_state:一个整数或者一个RandomState实例,或者None。
RandomState实例,则指定了随机数生成器。None,则使用默认的随机数生成器。KMeans是 scikit-learn提供的 k均值算法模型,其原型为:
class sklearn.cluster.KMeans(n_clusters=8, init='k-means++', n_init=10,max_iter=300,tol=0.0001, precompute_distances='auto', verbose=0, random_state=None, copy_x=True, n_jobs=1,algorithm='auto')n_clusters:一个整数,指定分类簇的数量。
init:一个字符串,指定初始均值向量的策略。可以为:
'k-means++':该初始化策略选择的初始均值向量相互之间都距离较远,它的效果较好。'random':从数据集中随机选择 个样本作为初始均值向量。(n_clusters,n_features),该数组作为初始均值向量。
K均值算法总能够收敛,但是其收敛情况高度依赖于初始化的均值。有可能收敛到局部极小值。因此通常都是用多组初始均值向量来计算若干次,选择其中最优的那一次。而k-means++策略选择的初始均值向量可以一定程度上的解决这个问题。
n_init:一个整数,指定了k均值算法运行的次数。
每次都会选择一组不同的初始化均值向量,最终算法会选择最佳的分类簇来作为最终的结果。
max_iter:一个整数,指定了单轮k均值算法中,最大的迭代次数。
算法总的最大迭代次数为 max_iter * n_init 。
precompute_distances:指定是否提前计算距离。如果提前计算距离,则需要更多的内存,但是算法会运行的更快。
可以为布尔值或者字符串 'auto':
'auto':如果 n_samples*n_clusters > 12 million,则不提前计算。True:总是提前计算。False:总是不提前计算。tol:指定收敛阈值。
n_jobs:指定并行度。
verbose:指定开启/关闭迭代中间输出日志功能。
random_state:指定随机数种子。
copy_x:布尔值,主要用于precompute_distances=True的情况。
True,则预计算距离的时候,并不修改原始数据。False,则预计算距离的时候,会修改原始数据用以节省内存;然后当算法结束的时候,会将原始数据还原。但是可能会因为浮点数的表示,会有一些精度误差。algorithm:一个字符串,指定采用的算法。可以为:
'full':使用经典的EM 风格的算法。'elkan':使用'elkan' 变种算法。它通过使用三角不等式来优化算法,但是不支持稀疏数据。'auto':自动选择算法。对于稀疏数据,使用'full';对于密集数据,使用'elkan' 。属性:
cluster_centers_:一个形状为[n_clusters,n_features]的数组,给出分类簇的均值向量。labels_:一个形状为[n_samples,] 的数组,给出了每个样本所属的簇的标记。inertia_:一个浮点数,聚类平方误差 。n_iter_:一个整数,指定运行的迭代次数。方法:
fit(X[,y ,sample_weight]):训练模型。fit_predict(X[, y, sample_weight]):训练模型并执行聚类,返回每个样本所属的簇标记。predict(X, sample_weight):返回每个样本所属的簇标记。transform(X):将数据集 X 转换到cluster center space 。fit_transform(X[, y, sample_weight]):训练模型并执行聚类,将数据集 X 转换到cluster center space 。score(X[, y, sample_weight]):一个浮点数,给出了聚类平方误差的相反数: 。MiniBatchKMeans是 scikit-learn提供的 批量k均值算法模型,其原型为:
xxxxxxxxxxclass sklearn.cluster.MiniBatchKMeans(n_clusters=8, init='k-means++',max_iter=300,batch_size=100, verbose=0, compute_labels=True,random_state=None,tol=0.0,max_no_improvement=10, init_size=None, n_init=3, reassignment_ratio=0.01)batch_size:一个整数,指定batch 大小。
compute_labels:一个布尔值,指定当算法收敛时,是否对全量数据集重新计算其完整的簇标记。
tol:一个浮点数,指定收敛阈值。它可以用于早停。
当迭代前后聚类中心的变化小于它时,执行早停。如果为0.0,则不开启这种早停。
max_no_improvement:一个整数,用于控制早停的轮数。如果优化目标在连续 max_no_improvement 个 batch 内没有改善时,执行早停。
这里的优化目标不是聚类中心的变化,而是平方误差 。
init_size:一个整数,为加速初始化而随机采样的样本数。通常是 3 倍的 batch_size 。
它必须大于 n_clusters 。
n_init:一个整数,指定了初始化的尝试次数。
与KMeans 不同,MiniBatchKMeans 只会运行一轮(而不是多轮)。
reassignment_ratio:一个浮点数,控制每次迭代中最多有多少个簇中心被重新赋值。
如果该值较大,则模型可能收敛可能时间更长,但是聚类效果也会更好。
其他参数参考sklearn.cluster.KMeans 。
属性:参考sklearn.cluster.KMeans 。
方法:
partial_fit(X, y=None, sample_weight=None):训练k means 一个批次。sklearn.cluster.KMeans 。DBSCAN是scikit-learn提供的一种密度聚类模型。其原型为:
xxxxxxxxxxclass sklearn.cluster.DBSCAN(eps=0.5, min_samples=5, metric='euclidean', metric_params=None, algorithm='auto', leaf_size=30, p=None, n_jobs=None)eps: 参数,用于确定邻域大小。
min_samples: 参数,用于判断核心对象。
metric:一个字符串或者可调用对象,用于计算距离。
如果是字符串,则必须是metrics.pairwise.calculate_distance中指定的。
metric_params:一个字典,当metric 为可调用对象时,为metric 提供关键字参数。
algorithm:一个字符串,用于计算两点间距离并找出最近邻的点。可以为:
'auto':由算法自动选取合适的算法。'ball_tree':用ball树来搜索。'kd_tree':用kd树来搜索。'brute':暴力搜索。leaf_size:一个整数,用于指定当algorithm=ball_tree或者kd_tree时,树的叶结点大小。
该参数会影响构建树、搜索最近邻的速度,同时影响存储树的内存。
p:一个浮点数,指定闵可夫斯基距离的 值。
n_jobs:指定并行度。
属性:
core_sample_indices_:一个形状为[n_core_samples,] 的数组,给出了核心样本在原始训练集中的位置。
components_:一个形状为[n_core_samples,n_features] 的数组,给出了核心样本的一份拷贝
labels_:一个形状为[n_samples,] 的数组,给出了每个样本所属的簇标记。
对于噪音样本,其簇标记为 -1。
方法:
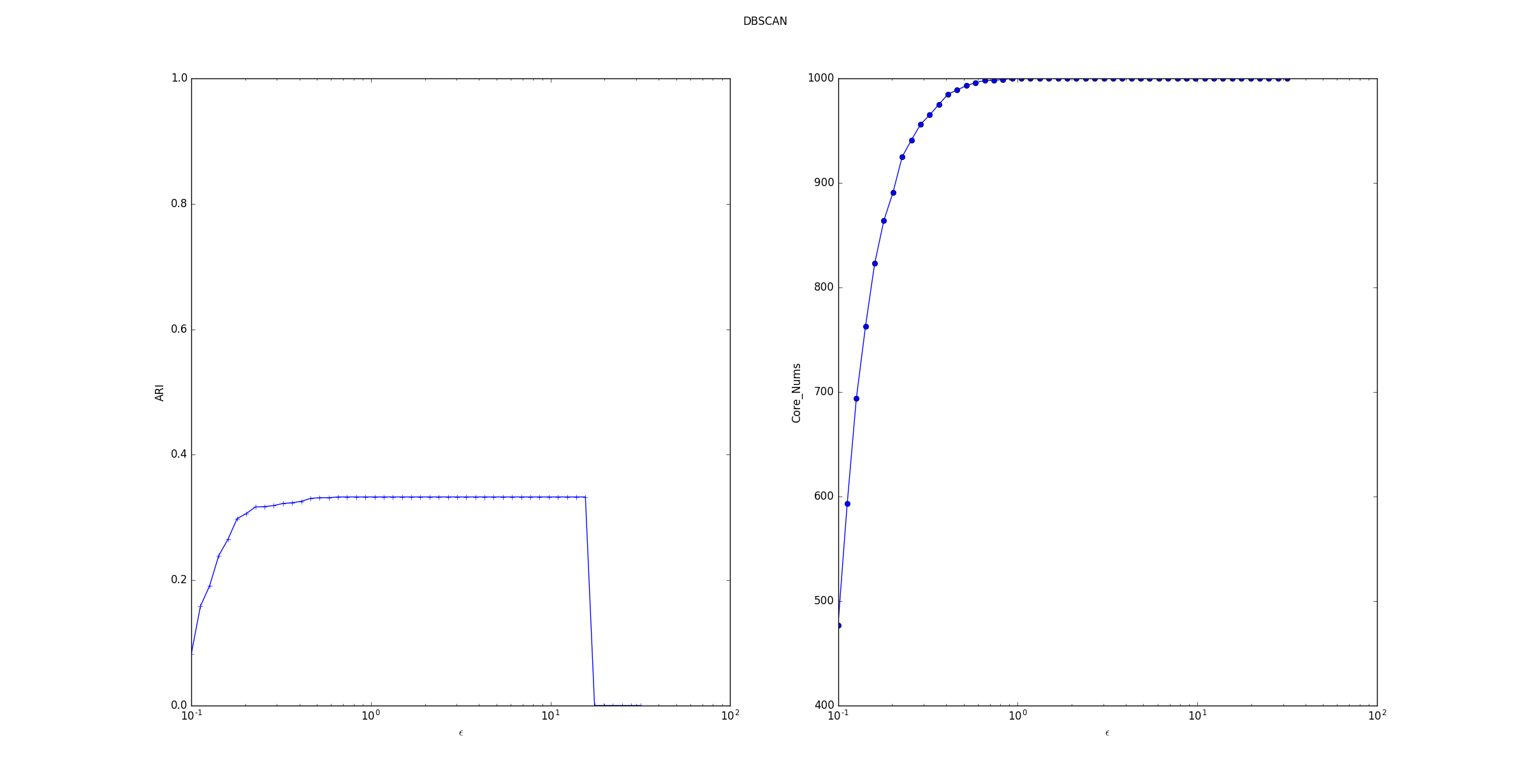
fit(X[, y, sample_weight]):训练模型。fit_predict(X[, y, sample_weight]):训练模型并执行聚类,返回每个样本所属的簇标记。考察 参数的影响:
ARI指数随着 的增长,先上升后保持平稳最后断崖下降。
断崖下降是因为产生的训练样本的间距比较小,最远的两个样本点之间的距离不超过 30。当 过大时,所有的点都在一个邻域中。
核心样本数量随着 的增长而上升。
这是因为随着 的增长,样本点的邻域在扩展,则样本点邻域内的样本会更多,这就产生了更多满足条件的核心样本点。
但是样本集中的样本数量有限,因此核心样本点数量的增长到一定数目后稳定。

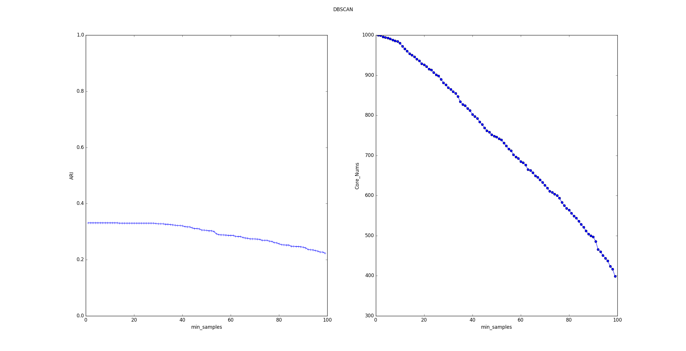
考察 参数的影响:
ARI指数随着 的增长,平稳的下降。
核心样本数量随着 的增长基本上线性下降。
这是因为随着 的增长,样本点的邻域中必须包含更多的样本才能使它成为一个核心样本点。因此产生的核心样本点越来越少。

MeanShift 是scikit-learn提供的一种密度聚类模型。其原型为:
xxxxxxxxxxclass sklearn.cluster.MeanShift(bandwidth=None, seeds=None, bin_seeding=False,min_bin_freq=1, cluster_all=True, n_jobs=None)bandwidth:一个浮点数,指定带宽参数。
如果未指定,则通过sklearn.cluster.estimate_bandwith() 函数来自动计算。
seeds:一个形状为[n_samples,n_features] 的数组,用于初始化核函数。
如果未指定,则通过sklearn.cluster.get_bin_seeds() 函数来自动计算。
bin_seeding:一个布尔值。
True,则并不会使用所有的点来计算核函数,而是使用网格边界上的点(网格宽度为带宽)来计算。这会加速算法的执行,因为核函数的初始化需要的点大大降低。False,则使用所有的点来计算核函数。min_bin_freq:一个整数值,指定有效网格包含的数据点的最少数量。
当bin_seeding=True 时,仅仅接收那些网格内包含超过min_bin_freq 个数据点的网格。
cluster_all:一个布尔值,指定是否对所有数据点进行聚类。
False,则对离群点不聚类,将离群点的簇标记设置为-1 。True,则对离群点也聚类,将离群点划分到离它最近的簇中。n_jobs:一个整数,指定并行度。
属性:
claster_centers_:一个形状为[n_clusters,n_features] 的数组,给出了每个簇中心的坐标。
labels_:一个形状为[n_samples,] 的数组,给出了每个样本所属的簇标记。
如果cluster_all=False,则对于离群样本,其簇标记为 -1。
方法:
fit(X[, y]):训练模型。
fit_predict(X[, y]):训练模型并执行聚类,返回每个样本所属的簇标记。
predict(X):对每个样本预测其簇标记。
每个样本距离最近的簇就是该样本所属的簇。
AgglomerativeClustering是scikit-learn提供的一种层次聚类模型。其原型为:
xxxxxxxxxxclass sklearn.cluster.AgglomerativeClustering(n_clusters=2, affinity='euclidean',memory=Memory(cachedir=None), connectivity=None, n_components=None,compute_full_tree='auto', linkage='ward', pooling_func=<function mean>)n_clusters:一个整数,指定簇的数量。
connectivity:一个数组或者可调用对象或者为None,用于指定连接矩阵。它给出了每个样本的可连接样本。
affinity:一个字符串或者可调用对象,用于计算距离。可以为:'euclidean', 'l1', 'l2', 'manhattan', 'cosine', 'precomputed' 。
如果linkage='ward',则 'affinity必须是 'euclidean'
memory:用于缓存输出的结果,默认为不缓存。如果给定一个字符串,则表示缓存目录的路径。
n_components:将在scikit-learn v 0.18中移除
compute_full_tree:通常当已经训练了n_clusters之后,训练过程就停止。
但是如果compute_full_tree=True,则会继续训练从而生成一颗完整的树。
linkage:一个字符串,用于指定链接算法。
'ward':采用方差恶化距离variance incress distance 。'complete':全链接complete-linkage算法,采用 。'average':均链接average-linkage算法,采用 。'single':单链接single-linkage算法,采用 。pooling_func:即将被废弃的接口。
属性:
labels_:一个形状为[n_samples,] 的数组,给出了每个样本的簇标记。n_leaves_:一个整数,给出了分层树的叶结点数量。n_components_:一个整数,给除了连接图中的连通分量的估计值。children_:一个形状为[n_samples-1,2]数组,给出了每个非叶结点中的子节点数量。方法:
fit(X[, y]):训练模型。fit_predict(X[, y]):训练模型并执行聚类,返回每个样本所属的簇标记。BIRCH 是scikit-learn提供的一种层次聚类模型。其原型为:
xxxxxxxxxxclass sklearn.cluster.Birch(threshold=0.5, branching_factor=50, n_clusters=3, compute_labels=True, copy=True)threshold:一个浮点数,指定空间阈值 。
branching_facto:一个整数,指定枝平衡因子 。叶平衡因子 也等于该数值。
n_clusters:一个整数或者None 或者sklearn.cluster 模型,指定最终聚类的数量。
None,则由算法自动给出。AgglomerativeClustering 算法来对CF 本身执行聚类,并将聚类结果返回。这使得最终的聚类数量就是n_clusters 。sklearn.cluster 模型,则该模型对CF 本身执行聚类,并将聚类结果返回。compute_labels:一个布尔值,指定是否需要计算簇标记。
copy:一个布尔值,指定是否拷贝原始数据。
属性:
root_:一个_CFNode对象,表示CF树的根节点。
subcluster_centers_:一个数组,表示所有子簇的中心点。
它直接从所有叶结点中读取。
subcluster_labels_:一个数组,表示所有子簇的簇标记。
可能多个子簇会有同样的簇标记,因为子簇可能会被执行进一步的聚类。
labels_:一个形状为[n_samples,] 的数组,给出了每个样本的簇标记。
如果执行分批训练,则它给出的是最近一批样本的簇标记。
方法:
fit(X[, y]):训练模型。
partial_fit(X[, y]):分批训练模型(在线学习)。
fit_predict(X[, y]):训练模型并执行聚类,返回每个样本所属的簇标记。
predict(X):对每个样本预测其簇标记。
根据每个子簇的中心点来预测样本的簇标记。
transform(X):将样本转换成子簇中心点的坐标:维度 代表样本距离第 个子簇中心的距离。
fit_transform(X[, y]):训练模型并将样本转换成子簇中心点的坐标。
GaussianMixture 是scikit-learn给出的混合高斯模型。其原型为
xxxxxxxxxxclass sklearn.mixture.GaussianMixture(n_components=1, covariance_type='full',tol=0.001, reg_covar=1e-06, max_iter=100, n_init=1, init_params='kmeans',weights_init=None, means_init=None, precisions_init=None, random_state=None,warm_start=False, verbose=0, verbose_interval=10)n_components:一个整数,指定分模型的数量,默认为1。
covariance_type:一个字符串,指定协方差的类型。必须为下列值之一:
'spherical' :球型,每个分模型的协方差矩阵都是各自的标量值。'tied':结点型,所有的分模型都共享一个协方差矩阵。'diag':对角型,每个分模型的协方差矩阵都是各自的对角矩阵'full':全型,每个分模型都有自己的协方差矩阵。tol:一个浮点数,用于指定收敛的阈值。 EM迭代算法中,当对数似然函数平均增益低于此阈值时,迭代停止。
reg_covar:一个浮点数,添加到协方差矩阵对角线上元素,确保所有的协方差都是正数。
max_iter:一个整数,指定EM算法迭代的次数。
n_init:一个整数,用于指定初始化次数。即算法会运行多轮,只有表现最好的哪个结果作为最终的结果。
init_params:一个字符串,可以为'kmeans'/'random',用于指定初始化权重的策略。
'kmeans':通过 kmeans 算法初始化。'random':随机初始化。weights-init:一个序列,形状为 (n_components,),指定初始化的权重。
如果提供该参数,则不会使用init_params 来初始化权重。
means_init:一个数组,形状为(n_components,n_features),指定了初始化的均值。
如果为None,则使用init_params 来初始化均值。
precision_init:用户提供的初始precisions(协方差矩阵的逆矩阵)。如果为None,则使用init_params 来初始化。
根据covariance_type的不同,该参数值的形状为不同。
'spherical' :形状为[n_components,]。'tied':形状为[n_features,n_features]。'diag':形状为[n_components,n_features]。'full':形状为[n_components,n_features,n_featuress]。random_state:指定随机数种子。
warm_start:一个布尔值。如果为True,则上一次训练的结果将作为本次训练的开始条件。此时忽略n_init,并且只有一次初始化过程发生。
verbose:一个整数,指定日志打印级别。
verbose_interval:一个整数,指定输出日志的间隔。
属性:
weights_ :一个形状为(n_components,) 的数组,表示每个分模型的权重。
means_ :一个形状为(n_components, n_features)的数组,表示每个分模型的均值 。
covariances_ :一个数组,表示每个分模型的方差 。数组的形状根据方差类型有所不同。
'spherical' :形状为[n_components,]。'tied':形状为[n_features,n_features]。'diag':形状为[n_components,n_features]。'full':形状为[n_components,n_features,n_featuress]。precision_:一个数组,表示精度矩阵(协方差矩阵的逆矩阵),与covariances_ 形状相同。
precisions_cholesky_:一个数组,表示精度矩阵的Cholesky 分解。
Cholesky分解:如果 是对称正定矩阵,则存在一个对角元为正数的下三角矩阵 ,使得 成立。
converged_ :一个布尔值。当训练过程收敛时,该值为True;不收敛时,为False 。
n_iter_:一个整数,给出EM 算法收敛时的迭代步数。
lower_bound_:一个浮点数,给出了训练集的对数似然函数的下界。
方法:
fit(X[, y]):训练模型。predict(X):预测样本所属的簇标记。fit_predict(X[, y]):训练模型并执行聚类,返回每个样本所属的簇标记。predict_proba(X):预测样本所属各个簇的后验概率。sample([n_samples]):根据模型来随机生成一组样本。n_samples 指定待生成样本的数量。score(X[, y]):计算模型在样本总体上的对数似然函数。score_samples(X):给出每个样本的对数似然函数。aic(X):给出样本集的 AKaike 信息准则。bic(X):给出样本集的贝叶斯信息准则。AIC 和 BIC 都是用于评估模型好坏的准则,用于衡量模型的复杂度和模型的精度。
AIC:Akaike Information Criterion 准则的目标是:选取AIC 最小的模型。
其中AIC 定义为:, 为模型的参数个数, 为模型的似然函数。
BIC:Bayesian Information Criterion 准则的目标是:选取BIC 最小的模型。
其中BIC 定义为:, 为模型的参数个数, 为模型的似然函数, 为训练样本的数量。
BIC 认为增加参数的数量也会增加模型复杂度。
并不是超参数的数量,而是训练参数的数量。
SpectralClustering 是scikit-learn给出的谱聚类模型。其原型为
xxxxxxxxxxclass sklearn.cluster.SpectralClustering(n_clusters=8, eigen_solver=None,random_state=None, n_init=10, gamma=1.0, affinity='rbf', n_neighbors=10, eigen_tol=0.0, assign_labels='kmeans', degree=3, coef0=1, kernel_params=None,n_jobs=None)n_clusters:一个整数,指定降维的维数,即 。
eigen_solver:一个字符串或者None,指定求解特征值的求解器。可以为:
'arpack':使用arpack 求解器。'lobpcg':使用lobpcg 求解器。'amg':使用amg 求解器。它要求安装pyamg。优点是计算速度快,支持大规模、稀疏数据,但是可能导致不稳定。random_state:指定随机数种子。
n_init:一个整数,指定二次聚类时的k-means 算法的n_init 参数,它会重复执行k-means 算法n_init 轮,选择效果最好的那轮作为最终聚类的输出。
affinity:一个字符串、数组或者可调用对象,指定相似度矩阵的计算方式。
'nearest_neighbors'、'precomputed'、'rbf'、或者由sklearn.metrics.pairwise_kernels 支持的其它核函数。gamma:一个浮点数,它给出了rbf,poly,sigmoid,laplacian,chi2 核的系数。
如果affinity='nearest_neighbors',则忽略该参数。
degree:一个整数,当使用多项式核时,指定多项式的度。
coef0:一个整数,当使用多项式核和sigmoid 核时,指定偏置。
kernel_params:一个字典,当affinity 是可调用对象时,传给该可调用对象的关键词参数。
n_neighbors:一个整数,指定当计算相似度矩阵时,考虑样本周围近邻的多少个样本。
如果affinity='rbf',则忽略该参数。
eigen_tol:一个浮点数,当使用arpack 求解器求解特征值时,指定收敛阈值。
assign_labels:一个字符串,指定二次聚类的算法。
'kmeans':使用k-means 算法执行二次聚类。'discretize':使用discretize 执行二次聚类。n_jobs:指定并行度。
属性:
affinity_matrix:一个形状为(n_samples,n_samples) 的数组,给出了相似度矩阵。labels_:一个形状为(n_samples,) 的数组,给出了每个样本的簇标记。方法:
fit(X[,y]):训练模型。fit_predict(X[, y]):训练模型并执行聚类,返回每个样本所属的簇标记。